[ Main Page ]

R 使用例

パッケージのインストール

執筆時はR 3.4.1で行った。一部のパッケージ名は変更されているので、旧バージョンを使用する場合は、別名を使う必要があるかもしれない。

install.packages("Epi")
install.packages("pROC")
install.packages("epiDisplay") # 旧epicalc, logistic.display()
install.packages("ROCR")
install.packages("boot")
install.packages("car") # vif
install.packages("PredictABEL") # NDI reclassification
library(Epi)
library(pROC)
library(epiDisplay)
library(ROCR)
library(boot)
library(car)
library(PredictABEL)
      

データファイル例

r3-data.csv

ID,vestibular,age,AP.closed.rubber.MF.AUC,LR.closed.rubber.MF.AUC,AP.closed.rubber.Total.AUC,LR.closed.rubber.Total-AUC,closed.rubber.vel.,closed.rubber.area
1201,0 ,15,0.523426212,0.269885006,0.820424406,0.414206021,3.27746,9.10135
1202,0 ,15,0.351072044,0.223578706,0.736198925,0.371211784,2.96723,7.46619
1203,0 ,15,0.265367518,0.173022108,0.514121107,0.246539771,3.29103,6.13298
1204,0 ,15,0.353626616,0.238177879,0.463714611,0.366790223,1.91632,5.73948
1205,0 ,15,0.169586899,0.126551565,0.557775433,0.244873518,2.1595,4.99572
1206,0 ,15,0.269394935,0.206403073,0.393509107,0.334897681,2.59966,5.92069
1207,0 ,15,0.424102537,0.393463788,1.168681291,0.544718388,2.81974,12.77118
1208,0 ,16,0.412487956,0.326645509,0.535793678,0.47033513,2.43657,8.44789
1209,0 ,16,0.469543914,0.230436026,0.855767493,0.344026976,3.03804,9.62845
1210,0 ,16,0.782838708,0.45587768,1.521906139,0.681959862,4.68328,16.24997
2210,0 ,21,0.391552961,0.230276891,0.761130581,0.401299195,2.3379,8.19391
2212,0 ,22,0.505144485,0.40641785,0.7181703,0.614968708,1.96046,9.1636
...
115,1 ,27,2.293283199,1.860312519,2.703063836,2.383459171,5.387,41.24671
119,1 ,30,3.88273066,2.270253956,4.400436492,2.617610345,8.3377,65.19868
113,1 ,31,5.293441219,4.241308871,6.426775757,5.216305625,8.67859,123.03445
114,1 ,32,0.799501695,0.30278924,0.893147487,0.35387103,2.53165,7.8428
110,1 ,34,1.419653245,0.620747457,1.864303991,0.735879483,4.81428,22.87334
...
      

一般的なCSVファイルでデータを作成した。今回は、変数vestibularを他の変量から推定できるか評価するのが目的である。

多重共線性のチェック

一般的に10を越えるようだと要注意となっている。下記だと、いくつかの変数は注意が必要ということになる。

dp <- glm(z~x1+x2+x3+x4+x5+x6+x7, family="binomial", data=xdata)
print(vif(dp))
      
       x1        x2        x3        x4        x5        x6        x7 
 1.311508  4.958128 17.973517  8.022008 20.809838  2.622894 16.597370 
      

ROCの描画

cls <- function(){ while(dev.cur() > 1) {dev.off()} }
cls()

vtTable <- read.csv("r3-data.csv", fileEncoding="cp932")
z  <- vtTable$vestibular
x1 <- vtTable$age
x2 <- vtTable$AP.closed.rubber.MF.AUC
x3 <- vtTable$LR.closed.rubber.MF.AUC
x4 <- vtTable$AP.closed.rubber.Total.AUC
x5 <- vtTable$LR.closed.rubber.Total.AUC
x6 <- vtTable$closed.rubber.vel.
x7 <- vtTable$closed.rubber.area

xdata <- data.frame(x1=x1,x2=x2,x3=x3,x4=x4,x5=x5,x6=x6,x7=x7,z=z)

# normal ROC display
par(mfrow=c(2,4), ps=24)
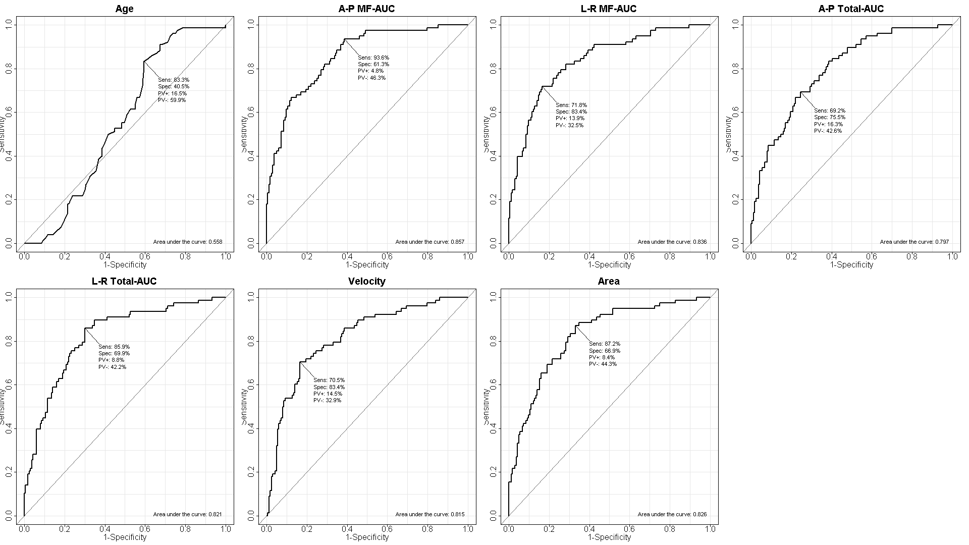
Epi::ROC(form= z~x1, plot="ROC", PV=T, MX=F, MI=F, AUC=T, main="Age")
Epi::ROC(form= z~x2, plot="ROC", PV=T, MX=F, MI=F, AUC=T, main="A-P MF-AUC")
Epi::ROC(form= z~x3, plot="ROC", PV=T, MX=F, MI=F, AUC=T, main="L-R MF-AUC")
Epi::ROC(form= z~x4, plot="ROC", PV=T, MX=F, MI=F, AUC=T, main="A-P Total-AUC")
Epi::ROC(form= z~x5, plot="ROC", PV=T, MX=F, MI=F, AUC=T, main="L-R Total-AUC")
Epi::ROC(form= z~x6, plot="ROC", PV=T, MX=F, MI=F, AUC=T, main="Velocity")
Epi::ROC(form= z~x7, plot="ROC", PV=T, MX=F, MI=F, AUC=T, main="Area")
dev.copy(bmp, file="r3-normalROC.bmp", width=1920, height=1080, pointsize=10)
cls()
      

AUCやオッズ比の算出

上記Epiパッケージ以外にも様々なパッケージがあるので、場合に応じて選べば良い。Epiパッケージ、pROCパッケージ、ROCRパッケージとglmの組み合わせの例を示した。また、下記ではz~x1の例を示した。 glmでロジスティック回帰を行ってからROCR::predictionを行うのは、中で行われる演算が理解できて良いかもしれない。

# Epiパッケージ
par(mfrow=c(1,2), ps=12)
a <- Epi::ROC(form= z~x1)
print(a$AUC)

# pROCパッケージのauc関数
pROC::auc(form=z~x1)

# ROCRパッケージの関数とglmによるロジスティック回帰を組み合わせる
afit <- glm(z~x1, data=xdata, family=binomial)
afit.predict <- ROCR::prediction(fitted(afit), xdata$z)
aperf <- ROCR::performance(afit.predict, "auc")
print(aperf) # print(aperf@y.values)でも良い
# こちらのパッケージでも、下記でROC曲線を書ける
aperf2 <- ROCR::performance(afit.predict, "tpr", "fpr")
par(mfrow=c(1,1), ps=12)
plot(aperf2)

# オッズ比はglmの結果から算出される
cat("OR\n")
exp(coef(afit))
      

[1] 0.5583215

Area under the curve: 0.5583

An object of class "performance"
Slot "x.name":
[1] "None"

Slot "y.name":
[1] "Area under the ROC curve"

Slot "alpha.name":
[1] "none"

Slot "x.values":
list()

Slot "y.values":
[[1]]
[1] 0.5583215


Slot "alpha.values":
list()

OR
(Intercept)          x1 
  0.2652016   1.0116140
      

AUCの信頼区間の算出(単変量の場合)

sink()で出力結果をファイルに保存できる。pROCにブートストラップ法が組み込まれているので、DeLong法以外にbootstrapも指定して信頼区間を計算できる。 マニュアルによると、percentile method (Carpenter and Bithell (2000) sections 2.1 and 3.3.) を使用しているとのことである。下記では2変数のみ表示しているが、他の変数も同様に表示可能。

d1 <- glm(z~x1, family="binomial")
d2 <- glm(z~x2, family="binomial")
d3 <- glm(z~x3, family="binomial")
d4 <- glm(z~x4, family="binomial")
d5 <- glm(z~x5, family="binomial")
d6 <- glm(z~x6, family="binomial")
d7 <- glm(z~x7, family="binomial")
r1 <- pROC::roc(form= z~x1)
r2 <- pROC::roc(form= z~x2)
r3 <- pROC::roc(form= z~x3)
r4 <- pROC::roc(form= z~x4)
r5 <- pROC::roc(form= z~x5)
r6 <- pROC::roc(form= z~x6)
r7 <- pROC::roc(form= z~x7)

sink(file="results.txt")

cat("x1 Age\n")
cat("x2 A-P MF-AUC\n")
cat("x3 L-R MF-AUC\n")
cat("x4 A-P Total-AUC\n")
cat("x5 L-R Total-AUC\n")
cat("x6 Velocity\n")
cat("x7 Area\n")

cat("--------------------------------------\n")
cat(" Age - Vestibular disorder\n")
cat("--------------------------------------\n")
print(summary(d1))
print(r1)
cat("CI of AUC\n")
print(pROC::ci.auc(r1, method = "delong",progress="none"))
set.seed(3141592)
print(pROC::ci.auc(r1, method = "boot", boot.n=2000, boot.stratified=TRUE,reuse.auc=TRUE,progress="none"))

cat("--------------------------------------\n")
cat(" A-P MF-AUC - Vestibular disorder\n")
cat("--------------------------------------\n")
print(summary(d2))
print(r2)
print(pROC::ci.auc(r2, method = "delong",progress="none"))
set.seed(3141592)
print(pROC::ci.auc(r2, method = "boot", boot.n=2000, boot.stratified=TRUE,reuse.auc=TRUE))
sink()
      
x1 Age
x2 A-P MF-AUC
x3 L-R MF-AUC
x4 A-P Total-AUC
x5 L-R Total-AUC
x6 Velocity
x7 Area
--------------------------------------
 Age - Vestibular disorder
--------------------------------------

Call:
glm(formula = z ~ x1, family = "binomial")

Deviance Residuals: 
    Min       1Q   Median       3Q      Max  
-1.0531  -0.9267  -0.7941   1.4197   1.7056  

Coefficients:
             Estimate Std. Error z value Pr(>|z|)    
(Intercept) -1.327265   0.381908  -3.475  0.00051 ***
x1           0.011547   0.006847   1.686  0.09172 .  
---
Signif. codes:  0 ‘***’ 0.001 ‘**’ 0.01 ‘*’ 0.05 ‘.’ 0.1 ‘ ’ 1

(Dispersion parameter for binomial family taken to be 1)

    Null deviance: 303.46  on 240  degrees of freedom
Residual deviance: 300.57  on 239  degrees of freedom
AIC: 304.57

Number of Fisher Scoring iterations: 4


Call:
roc.formula(formula = z ~ x1)

Data: x1 in 163 controls (z 0) < 78 cases (z 1).
Area under the curve: 0.5583
CI of AUC
95% CI: 0.487-0.6296 (DeLong)
95% CI: 0.4879-0.6288 (2000 stratified bootstrap replicates)
--------------------------------------
 A-P MF-AUC - Vestibular disorder
--------------------------------------

Call:
glm(formula = z ~ x2, family = "binomial")

Deviance Residuals: 
    Min       1Q   Median       3Q      Max  
-2.1785  -0.6104  -0.4418   0.4760   2.2663  

Coefficients:
            Estimate Std. Error z value Pr(>|z|)    
(Intercept)  -3.4674     0.4266  -8.129 4.33e-16 ***
x2            2.9945     0.4360   6.868 6.51e-12 ***
---
Signif. codes:  0 ‘***’ 0.001 ‘**’ 0.01 ‘*’ 0.05 ‘.’ 0.1 ‘ ’ 1

(Dispersion parameter for binomial family taken to be 1)

    Null deviance: 303.46  on 240  degrees of freedom
Residual deviance: 212.67  on 239  degrees of freedom
AIC: 216.67

Number of Fisher Scoring iterations: 5


Call:
roc.formula(formula = z ~ x2)

Data: x2 in 163 controls (z 0) < 78 cases (z 1).
Area under the curve: 0.8567
95% CI: 0.8078-0.9056 (DeLong)
95% CI: 0.8058-0.901 (2000 stratified bootstrap replicates)
      

ブートストラップ法によるAUCの信頼区間算出(多変量の場合)

sink()はappendで追記可能である。全変数によるモデルのAUCを算出するため、ブートストラップ用にauc_calcを定義しbootで信頼区間を算出した。 glm(family=binomial)でロジスティック回帰を行い、ROCRパッケージのprediction及びperformanceを用いて算出した。 例として挙げており、多重共線性は無視し、すべての変数を入れたモデルでの算出を行っている。

sink(file="results.txt", append=TRUE)
cat("Calculating bootstrap multivariate logistic AUC CI ...\n")

auc_calc <- function(data, indices, formula) {
  d <- data[indices,]
  afit <- glm(formula, data=d, family=binomial)
  afit.predict <- ROCR::prediction(fitted(afit), d$z)
  aperf <- ROCR::performance(afit.predict, "auc")
  return(aperf@y.values[[1]])
}

set.seed(3141592)
boot.results <- boot(data=xdata, statistic=auc_calc, R=2000, formula=z~x1+x2+x3+x4+x5+x6+x7)
print(boot.ci(boot.results,type = c("norm","basic","perc","bca")))
sink()
      
Calculating bootstrap multivariate logistic AUC CI ...
BOOTSTRAP CONFIDENCE INTERVAL CALCULATIONS
Based on 2000 bootstrap replicates

CALL : 
boot.ci(boot.out = boot.results, type = c("norm", "basic", "perc", 
    "bca"))

Intervals : 
Level      Normal              Basic         
95%   ( 0.8116,  0.9017 )   ( 0.8149,  0.9028 )  

Level     Percentile            BCa          
95%   ( 0.8441,  0.9320 )   ( 0.8072,  0.9016 )  
Calculations and Intervals on Original Scale
Warning : BCa Intervals used Extreme Quantiles
Some BCa intervals may be unstable
 警告メッセージ: 
In norm.inter(t, adj.alpha) : extreme order statistics used as endpoints
      

pROCのrocでも同様にオプションを指定してブートストラップ法を用いて信頼区間を求められる。結果はpercentile methodのみである。

afit <- glm(z~x1+x2+x3+x4+x5+x6+x7,data=xdata,binomial)
rr1 <- pROC::roc(predictor=fitted(afit), response=xdata$z)
set.seed(3141592)
pROC::ci.auc(rr1, method="boot", boot.n=2000, boot.stratified=TRUE, reuse.auc=FALSE)
      
95% CI: 0.8279-0.9173 (2000 stratified bootstrap replicates)
      

オッズ比とその信頼区間の算出

オッズ比はglmで算出可能である。ブートストラップ法で信頼区間を求める場合、expにかける前にブートストラップを行うので、boot.ciでh=expにより戻す必要がある。 例として示しているだけで、信頼区間自体はかなり広めの値が算出されている。

# ORの表示
afit <- glm(z~x1+x2+x3+x4+x5+x6+x7,data=xdata,binomial)
print(exp(coef(afit)))

# ORの表示(こちらの方が一般的)
epiDisplay::logistic.display(afit, crude.p.value=TRUE, decimal=5)

# boot用の関数
m_oddsratio_calc <- function(data, indices, formula) {
  d <- data[indices,]
  afit <- glm(formula, data=d, family=binomial)
  return(coef(afit))
}

boot.results <- boot(data=data, statistic=m_oddsratio_calc, R=2000, formula=z~x1+x2+x3+x4+x5+x6+x7)
or_results <- c()
# n=vn variates
for(it in 1:length(boot.results$t0))
{
  btor <- boot.ci(boot.results, type = c("perc","bca"), index=it, h=exp)
  or_results <- rbind(or_results, c(btor$percent[4:5], btor$bca[4:5]))
}
or_result <- data.frame(t(or_results))
colnames(or_results) <- c("(percentile L,", "percentile H)", "(BCa L,", "BCa H)")
rownames(or_results) <- names(boot.results$t0)
options(width=120)
options(scipen=5)
options(digits=5)
print(or_results)
options(digits=5)
      
(Intercept)          x1          x2          x3          x4          x5          x6          x7 
 0.06057367  0.99038448 67.91379358 92.14700498  0.13143789  0.05736990  0.98885931  1.05722083 


Logistic regression predicting z 
 
                crude OR(95%CI)              crude P value adj. OR(95%CI)               P(Wald's test) P(LR-test)
x1 (cont. var.) 1.01161 (0.99813,1.02528)    0.09172       0.9904 (0.9708,1.0103)       0.341842       0.339253  
x2 (cont. var.) 19.97557 (8.49905,46.94919)  < 0.001       67.91379 (8.9655,514.44803)  < 0.001        < 0.001   
x3 (cont. var.) 16.0072 (6.93308,36.95767)   < 0.001       92.147 (2.73443,3105.24416)  0.01172        0.008423  
x4 (cont. var.) 4.52786 (2.74095,7.4797)     < 0.001       0.13144 (0.02714,0.63655)    0.011697       0.005698  
x5 (cont. var.) 6.34097 (3.45989,11.62112)   < 0.001       0.05737 (0.00381,0.8649)     0.03894        0.039388  
x6 (cont. var.) 1.743 (1.44319,2.10511)      < 0.001       0.98886 (0.73993,1.32154)    0.939644       0.939816  
x7 (cont. var.) 1.12331 (1.08236,1.16581)    < 0.001       1.05722 (0.90692,1.23244)    0.476972       0.478855  
                                                                                                                 
Log-likelihood = -98.2572877
No. of observations = 241
AIC value = 212.5145753

            (percentile L, percentile H)   (BCa L,      BCa H)
(Intercept)     0.00991018       0.13853 0.0222085     0.23269
x1              0.96480127       1.00792 0.9719215     1.01271
x2             12.82765327  110116.95166 4.9532801  3076.21182
x3              1.14584657    9811.50194 1.2475637 12605.13843
x4              0.00042035       0.60076 0.0028145     2.35539
x5              0.00178572       3.18766 0.0014440     2.33899
x6              0.71145651       2.06223 0.5876320     1.60159
x7              0.84439828       1.33158 0.8639421     1.34545
      

ステップワイズ法

ステップワイズ法により、vestibularを推定するのに適切な変数を探索し(モデルを選択)、x2x3x4x5が選択された。例として示しているので、実際には多重共線性に注意が必要となる。 繰り返しになるが、それぞれでオッズ比を表示させている。Crude ORは交絡補正前で、いわゆる単変量と同じだが、adj. (adjusted) ORは多変量であり、値が異なることが確認できる。

sink(file="results.txt", append=TRUE)
cat("======================================\n")
cat(" Multivariate analysis\n")
cat("======================================\n")
cat("x1 Age\n")
cat("x2 A-P MF-AUC\n")
cat("x3 L-R MF-AUC\n")
cat("x4 A-P Total-AUC\n")
cat("x5 L-R Total-AUC\n")
cat("x6 Velocity\n")
cat("x7 Area\n")

# stepwise logistic analysis
dp    <- glm(z~x1+x2+x3+x4+x5+x6+x7, family="binomial", data=xdata)
d_null<- glm(z~1,family=binomial)

# linear
print(summary(dp))
cat("----------------------------------------------------------\n")
cat("(crude OR (odds ratio): bivariate / adj. OR: multivariate)\n")
print(logistic.display(dp,crude.p.value=TRUE,decimal=5))
cat("----------------------------------------------------------\n")

cat("\n\nStepwise logistic analysis -->>\n")
d_step   <- step(d_null,scope=formula(dp),direction="both")
print(summary(d_step))
cat("----------------------------------------------------------\n")
cat("(crude OR (odds ratio): bivariate / adj. OR: multivariate)\n")
print(logistic.display(d_step,crude.p.value=TRUE,decimal=5))
#print(fitted(d_step)[2])
cat("----------------------------------------------------------\n")

pred <- ROCR::prediction(fitted(d_step), z)
perf <- performance(pred,"tpr","fpr")
perf1 <- performance(pred,"auc")
M <- max(perf@y.values[[1]]-perf@x.values[[1]])
d_cutoff <- which(perf@y.values[[1]]-perf@x.values[[1]]==M)

cat("Cutoff: ")
print(perf@alpha.values[[1]][d_cutoff])
cat("Sensitivity: ")
print(perf@y.values[[1]][d_cutoff])
cat("Specificity: ")
print(1-perf@x.values[[1]][d_cutoff])
cat("AUC: ")
print(perf1@y.values)
sink()
      
======================================
 Multivariate analysis
======================================
x1 Age
x2 A-P MF-AUC
x3 L-R MF-AUC
x4 A-P Total-AUC
x5 L-R Total-AUC
x6 Velocity
x7 Area

Call:
glm(formula = z ~ x1 + x2 + x3 + x4 + x5 + x6 + x7, family = "binomial", 
    data = xdata)

Deviance Residuals: 
    Min       1Q   Median       3Q      Max  
-2.5208  -0.6000  -0.4015   0.3201   2.5119  

Coefficients:
             Estimate Std. Error z value Pr(>|z|)    
(Intercept) -2.803895   0.578336  -4.848 1.25e-06 ***
x1          -0.009662   0.010165  -0.951   0.3418    
x2           4.218239   1.033108   4.083 4.44e-05 ***
x3           4.523385   1.794657   2.520   0.0117 *  
x4          -2.029221   0.804880  -2.521   0.0117 *  
x5          -2.858235   1.384256  -2.065   0.0389 *  
x6          -0.011203   0.147961  -0.076   0.9396    
x7           0.055644   0.078241   0.711   0.4770    
---
Signif. codes:  0 ‘***’ 0.001 ‘**’ 0.01 ‘*’ 0.05 ‘.’ 0.1 ‘ ’ 1

(Dispersion parameter for binomial family taken to be 1)

    Null deviance: 303.46  on 240  degrees of freedom
Residual deviance: 196.51  on 233  degrees of freedom
AIC: 212.51

Number of Fisher Scoring iterations: 6

----------------------------------------------------------
(crude OR (odds ratio): bivariate / adj. OR: multivariate)

Logistic regression predicting z 
 
                crude OR(95%CI)              crude P value
x1 (cont. var.) 1.01161 (0.99813,1.02528)    0.09172      
                                                          
x2 (cont. var.) 19.97557 (8.49905,46.94919)  < 0.001      
                                                          
x3 (cont. var.) 16.0072 (6.93308,36.95767)   < 0.001      
                                                          
x4 (cont. var.) 4.52786 (2.74095,7.4797)     < 0.001      
                                                          
x5 (cont. var.) 6.34097 (3.45989,11.62112)   < 0.001      
                                                          
x6 (cont. var.) 1.743 (1.44319,2.10511)      < 0.001      
                                                          
x7 (cont. var.) 1.12331 (1.08236,1.16581)    < 0.001      
                                                          
                adj. OR(95%CI)               P(Wald's test) P(LR-test)
x1 (cont. var.) 0.9904 (0.9708,1.0103)       0.341842       0.339253  
                                                                      
x2 (cont. var.) 67.91379 (8.9655,514.44803)  < 0.001        < 0.001   
                                                                      
x3 (cont. var.) 92.147 (2.73443,3105.24416)  0.01172        0.008423  
                                                                      
x4 (cont. var.) 0.13144 (0.02714,0.63655)    0.011697       0.005698  
                                                                      
x5 (cont. var.) 0.05737 (0.00381,0.8649)     0.03894        0.039388  
                                                                      
x6 (cont. var.) 0.98886 (0.73993,1.32154)    0.939644       0.939816  
                                                                      
x7 (cont. var.) 1.05722 (0.90692,1.23244)    0.476972       0.478855  
                                                                      
Log-likelihood = -98.2572877
No. of observations = 241
AIC value = 212.5145753

----------------------------------------------------------


Stepwise logistic analysis -->>
Start:  AIC=305.46
z ~ 1

       Df Deviance    AIC
+ x2    1   212.67 216.67
+ x3    1   226.45 230.45
+ x7    1   233.71 237.71
+ x5    1   240.02 244.02
+ x4    1   246.26 250.26
+ x6    1   254.95 258.95
+ x1    1   300.57 304.57
<none>      303.46 305.46

Step:  AIC=216.67
z ~ x2

       Df Deviance    AIC
+ x4    1   206.84 212.84
+ x1    1   209.94 215.94
<none>      212.67 216.67
+ x7    1   211.89 217.89
+ x3    1   211.91 217.91
+ x6    1   212.60 218.60
+ x5    1   212.65 218.65
- x2    1   303.46 305.46

Step:  AIC=212.85
z ~ x2 + x4

       Df Deviance    AIC
+ x3    1   203.36 211.36
+ x1    1   204.50 212.50
<none>      206.84 212.84
+ x7    1   206.26 214.26
+ x6    1   206.45 214.45
+ x5    1   206.49 214.49
- x4    1   212.67 216.67
- x2    1   246.26 250.26

Step:  AIC=211.36
z ~ x2 + x4 + x3

       Df Deviance    AIC
+ x5    1   198.01 208.01
+ x1    1   201.28 211.28
<none>      203.36 211.36
- x3    1   206.84 212.84
+ x7    1   202.87 212.87
+ x6    1   203.35 213.35
- x4    1   211.91 217.91
- x2    1   226.44 232.44

Step:  AIC=208.01
z ~ x2 + x4 + x3 + x5

       Df Deviance    AIC
<none>      198.01 208.01
+ x1    1   197.06 209.06
+ x7    1   197.49 209.49
+ x6    1   198.01 210.01
- x5    1   203.36 211.36
- x3    1   206.49 214.49
- x4    1   207.28 215.28
- x2    1   220.60 228.60

Call:
glm(formula = z ~ x2 + x4 + x3 + x5, family = binomial)

Deviance Residuals: 
    Min       1Q   Median       3Q      Max  
-2.5236  -0.5916  -0.4127   0.3756   2.4989  

Coefficients:
            Estimate Std. Error z value Pr(>|z|)    
(Intercept)  -3.1744     0.4475  -7.094 1.30e-12 ***
x2            4.1636     0.9819   4.240 2.23e-05 ***
x4           -1.7143     0.6202  -2.764  0.00570 ** 
x3            4.6937     1.6972   2.766  0.00568 ** 
x5           -2.5296     1.1269  -2.245  0.02478 *  
---
Signif. codes:  0 ‘***’ 0.001 ‘**’ 0.01 ‘*’ 0.05 ‘.’ 0.1 ‘ ’ 1

(Dispersion parameter for binomial family taken to be 1)

    Null deviance: 303.46  on 240  degrees of freedom
Residual deviance: 198.01  on 236  degrees of freedom
AIC: 208.01

Number of Fisher Scoring iterations: 6

----------------------------------------------------------
(crude OR (odds ratio): bivariate / adj. OR: multivariate)

Logistic regression predicting z 
 
                crude OR(95%CI)              crude P value
x2 (cont. var.) 19.97557 (8.49905,46.94919)  < 0.001      
                                                          
x4 (cont. var.) 4.52786 (2.74095,7.4797)     < 0.001      
                                                          
x3 (cont. var.) 16.0072 (6.93308,36.95767)   < 0.001      
                                                          
x5 (cont. var.) 6.34097 (3.45989,11.62112)   < 0.001      
                                                          
                adj. OR(95%CI)                  P(Wald's test) P(LR-test)
x2 (cont. var.) 64.30488 (9.38546,440.58741)    < 0.001        < 0.001   
                                                                         
x4 (cont. var.) 0.18009 (0.05341,0.60724)       0.005704       0.002323  
                                                                         
x3 (cont. var.) 109.26169 (3.92485,3041.67751)  0.005682       0.00358   
                                                                         
x5 (cont. var.) 0.07969 (0.00875,0.72547)       0.024783       0.020735  
                                                                         
Log-likelihood = -99.0044212
No. of observations = 241
AIC value = 208.0088424

----------------------------------------------------------
Cutoff: [1] 0.342448
Sensitivity: [1] 0.7692308
Specificity: [1] 0.8220859
AUC: [[1]]
[1] 0.8695926
      

モデル間のAUCの比較

pROCにあるroc.testを使うと、モデル間でAUCを比較し、どちらのモデルが優位か算出することが出来る。

compare_auc <- function(formula1, formula2, data, response, alternative="two.sided"){
  olm1 <- glm(formula1, data=data, family="binomial")
  olm2 <- glm(formula2, data=data, family="binomial")
  ROC_1 <- pROC::roc(response=response, predictor=fitted(olm1))
  ROC_2 <- pROC::roc(response=response, predictor=fitted(olm2))
  print(pROC::roc.test(ROC_1, ROC_2, method="delong", alternative=alternative))
  print(pROC::roc.test(ROC_1, ROC_2, method = "bootstrap", boot.n = 2000, progress="none", alternative=alternative))
}
compare_auc(z~x1+x3,z~x1+x2+x3+x4+x5+x6+x7,xdata,xdata$z,"less")
      
DeLong's test for two correlated ROC curves

data:  ROC_1 and ROC_2
Z = -2.2, p-value = 0.014
alternative hypothesis: true difference in AUC is less than 0
sample estimates:
AUC of roc1 AUC of roc2 
    0.83113     0.87345 


        Bootstrap test for two correlated ROC curves

data:  ROC_1 and ROC_2
D = -2.25, boot.n = 2000, boot.stratified = 1, p-value = 0.012
alternative hypothesis: true difference in AUC is less than 0
sample estimates:
AUC of roc1 AUC of roc2 
    0.83113     0.87345 
      

モデル間の比較

PredictABELのreclassificationを用いて、NRI(net reclassification improvement)とIDI(integrated discrimination improvement)を算出することが出来る。

ndi_calc <- function(formula1, formula2, data, resp){
  olm1 <- glm(formula1, data=data, family="binomial")
  olm2 <- glm(formula2, data=data, family="binomial")
  PredictABEL::reclassification(data=data,cOutcome=resp,predrisk1=fitted(olm1),predrisk2=fitted(olm2),cutoff=c(0,0.5,1))
}
ndi_calc(z~x1+x3,z~x1+x2+x3+x4+x5+x6+x7,xdata,8) # outcomeが8列目(=z)にあるのを指定
      
 _________________________________________
 
     Reclassification table    
 _________________________________________

 Outcome: absent 
  
             Updated Model
Initial Model [0,0.5) [0.5,1]  % reclassified
      [0,0.5)     145       3               2
      [0.5,1]       4      11              27

 
 Outcome: present 
  
             Updated Model
Initial Model [0,0.5) [0.5,1]  % reclassified
      [0,0.5)      30      10              25
      [0.5,1]       5      33              13

 
 Combined Data 
  
             Updated Model
Initial Model [0,0.5) [0.5,1]  % reclassified
      [0,0.5)     175      13               7
      [0.5,1]       9      44              17
 _________________________________________

 NRI(Categorical) [95% CI]: 0.0702 [ -0.0312 - 0.1716 ] ; p-value: 0.17454 
 NRI(Continuous) [95% CI]: 0.809 [ 0.5625 - 1.0556 ] ; p-value: 0 
 IDI [95% CI]: 0.0971 [ 0.054 - 0.1401 ] ; p-value: 0.00001 
      
Q:	Why don't Scotsmen ever have coffee the way they like it?
A:	Well, they like it with two lumps of sugar.  If they drink
	it at home, they only take one, and if they drink it while
	visiting, they always take three.

     <rindolf>  perlmonkey2: I've ran into a strange problem with CMake.
                It's some kind of bug that disappears after running a few
                commands.
 <perlmonkey2>  rindolf: heh, the best kind of bugs are intermittant and
                only happen under load :P
     <rindolf>  perlmonkey2: it's not load.
      <daemon>  The best kind of bugs are the ones that do not happen at
                all :)
     <rindolf>  daemon: heh.
     <rindolf>  daemon++
     <Altreus>  The best kind of bugs are the ones that only happen to
                people you hate.
 <perlmonkey2>  hahahaha
     <Altreus>  Those aren't usually bugs
     <Altreus>  >:)
      <daemon>  Altreus, you mean the ones you coded to happen to that
                said person ;)
      <daemon>  hehe
     <Altreus>  Not being able to reproduce strange behaviour is fine too

    -- Best kind of bugs
    -- #perl, Freenode


Powered by UNIX fortune(6)
[ Main Page ]